Die Durchflussprüfung

Die Durchflussprüfung ist ein industrielles Verfahren zur Ermittlung von Durchflussgrößen in Produkten mit speziellen Anforderungen. Es werden z.B. Ventile, Gehäuse oder Leitungen auf Durchfluss, Durchflussquerschnitt oder Druck an definierten Positionen gemessen. Die Prüfung erfolgt i. Allg. mit dem Fluid Luft. Aus den sich daraus ergebenen Werten kann anschließend bestimmt werden, ob das Produkt den geforderten Massenstrom ermöglicht, ob die benötigten Strömungsquerschnitte gegeben sind oder ob bei einer Düse der vorgegebene Druck bzw. Unterdruck erzeugt wird.

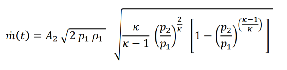
Die Messungen und Prüfungen basieren auf der Gleichung von BERNOULLI in allgemeiner Form:

Diese Gleichung beschreibt auch instationäre Strömungen (also zeitlich an einer Stelle des Strompfades sich ändernde Strömungen). Zudem beinhaltet der Zusammenhang durch p(t) auch kompressible Fluide.

Die Gleichung beschreibt eine Energiebilanz eines strömenden Fluids bezüglich potentioneller Energieanteile, kinetischer Energieanteile und der Enthalpie-Energieanteile (Summe aus innerer Energie und dem Produkt aus Druck und Volumen). Sie umfasst lokale und konvektive Beschleunigungs-Energieanteile. Allerdings ist ein adiabater Prozess vorausgesetzt.

Wird eine ebene, stationäre und adiabate Strömung durch eine konvergente Düse mathematisch modelliert, dann lässt sich diese Gleichung analytisch recht gut lösen und der Massenstrom ṁ(t) berechnen.

Auf dieser Gleichung basieren einige Prüfalgorithmen in unseren Prüfgeräten.

Massenflussgeregelte Durchflussprüfung

Bei der massenflussgeregelten Durchflussprüfung wird der Massenstrom eingeregelt und der Druck vor dem Prüfling gemessen. Sollte der gemessene Druck außerhalb der festgelegten Parameter sein, deutet dies auf eine Nichteinhaltung der vorgegebenen Produkt- und Qualitätsparameter hin. Dies kann zum Beispiel bedeuten, dass das zu prüfende Produkt nicht geeignet ist, den Massenfluss bei vorgegebenem Eingangsdruck einzuhalten. Gründe hierfür sind z.B. ein zu geringer Durchströmungsquerschnitt beim Öffnen eines Ventils oder Strömungshindernisse im Massenstrom des Fluids. Dies führt bei dieser Prüfung zu einer Erhöhung des Eingangsdrucks. Zudem kann es auch vorkommen, dass der sich bei konstantem Massenstrom einstellende Staudruck zu gering ist. Dies kann z.B. durch einen zu großen Strömungsquerschnitt oder Leckagen im Prüfobjekt bewirkt werden.

Staudruckgeregelt Durchflussprüfung

Bei der staudruckgeregelten Durchflussprüfung wird der Druck am Eingang in die Prüfstrecke (vor dem Prüfling) eingeregelt und der sich dabei einstellende stationäre Massenstrom gemessen. Liegt der gemessene Massenstrom außerhalb der festgelegten Parameter, so impliziert dies eine Nichteinhaltung der geforderten Produktspezifikationen. Sollte z.B. bei dem vorgegebenen Eingangsdruck der Massenstrom zu klein sein, können Ursachen hierfür in einem zu kleinen Strömungs-Öffnungsquerschnitt oder in Störkonturen liegen. Auf der anderen Seite kann der gemessene Massenstrom größer sein als in der Produktspezifikation vorgegeben, da z.B. der Strömungsquerschnitt zu groß ist oder ungewollte Leckagen auftreten.

Öffnungspunktprüfung

Die Öffnungspunktprüfung basiert auf der Wirkungsweise der Durchflussprüfung.
Vom messtechnischen Aufbau her kann die Öffnungspunktprüfung in den beiden
zuvor beschriebenen Ausführungen der Durchflussprüfung realisiert werden. Zielsetzung dieser Prüfung ist es jedoch auch, die Dynamik (z.B. Öffnungszeitverlauf,
Verschlusszeitverlauf) und den Funktionszusammenhang der Zustandsgrößen
(z.B. bei welchem Druck ein Ventil oder eine Membrane öffnet) zu messen und
somit einer Prüfung zu unterziehen.
Dabei wird das System z.B. mit einem vorgegebenen konstanten Massenstrom
befüllt, dann steigt bei geschlossenem Ventil der Eingangsdruck kontinuierlich an.
Ab einer bestimmten Füllmenge und dem daraus verursachten Eingangsdruck
muss sich das Ventil nach der vorgegebenen Spezifikation öffnen. Sollte der
Druck nicht erreicht werden, so ist das System im Allgemeinen undicht. Wird der
Eingangsdruck höher als spezifiziert, ist die Öffnungsfunktion nicht gegeben. Die
Prüfung ist auch als Schließpunktprüfung realisierbar.

Blätterkatalog Prüftechnik (Dichtheitsprüfung, Leckageprüfung, Durchflussprüfung)

Nähere Informationen zur Dichtheitsprüfung (Leckageprüfung) sowie zur Durchflussprüfung finden Sie im Katalog.

Durchblättern Herunterladen